Индивидуальные и сводные индексы, их взаимосвязи
Индексом называют показатель относительного изменения данного уровня исследуемого явления по сравнению с другим его уровнем, принятым за базу сравнения. Индексы являются незаменимым инструментом исследования, когда необходимо сравнить во времени или пространстве две совокупности, элементы которых непосредственно суммировать нельзя.
Индексный метод направлен на решение следующих задач:
. характеристика общего изменения уровня сложного социально-экономического явления; 2. анализ влияния каждого из факторов на изменение индексируемой величины путем элиминирования (исключение из рассмотрения в процессе анализа факторов, заведомо не связанных с изучаемым, явлением) воздействия прочих факторов; 3. анализ влияния структурных сдвигов на изменение индексируемой величины.
Простейшим показателем является индивидуальный индекс, который характеризует изменение во времени экономических величин, относящихся к одному объекту:
- индекс цены,
-индекс физ. объема реализации;
- товарооборот.
Изменение стоимостного объема товарооборота по данному товару отразится в значении индивидуального индекса товарооборота. Товарооборот текущего периода сравнивается с товарооборотом предыдущего.
Индивидуальные индексы, в сущности, представляют собой относительные показатели динамики или темпы роста, и по данным за несколько периодов времени могут рассчитываться в цепной или базисной формах. В отличие от индексов индивидуальных, сводные индексы позволяют обобщить показатели по нескольким товарам. Исходной формой сводного индекса является агрегатная форма. Агрегатная форма индекса позволяет найти для разнородной совокупности такой общий показатель, в котором можно объединить все ее элементы. При анализе динамики цен индивидуальные цены различных товаров складывать неправомерно, но суммировать товарооборот по этим товарам вполне допустимо. В текущем периоде такой товарооборот по n товарам составит:
Аналогично для базисного периода:
Если мы сравним товарооборот в текущем периоде с его величиной в базисном периоде, то получим сводный индекс товарооборота:
индекс цен (по методу Пааше):
Числитель данного индекса содержит фактический товарооборот текущего периода. Знаменатель же представляет собой условную величину, показывающую каким был бы товарооборот в текущем периоде при условии сохранения цен на базисном уровне.
сводный индекс цен, построенный по методу Ласпейреса, когда веса или объемы продаж фиксируются на уровне базисного, а не текущего периода:
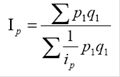
Средние формы сводных индексов. При расчете индексов часть необходимой информации может отсутствовать или базироваться на результатах выборочных обследований. В подобных случаях вместо индексов в агрегатной форме удобнее использовать средние арифметические и средние гармонические индексы. Любой сводный индекс можно представить как среднюю взвешенную из индивидуальных индексов. Можно использовать следующую замену:
Это значение сводного индекса цен в среднегармонической форме, соответствующее сводному индексу Пааше в агрегатной форме.
Другие статьи
Учет поступления, перемещения, реализации и прочего выбытия собственных и арендованных основных средств
Темой данной курсовой работы является учет «Учёт поступления,
перемещения, реализации и прочего выбытия собственных и арендованных основных
средств». Тема курсовой работы выбрана неслучайно. Хозяйственная деятельность
промышленного предприятия складывается из трех непрерывных взаимосв ...
