Определение сезонной компоненты в уровнях временных рядов
При рассмотрении квартальных и месячных данных часто обнаруживаются периодические колебания, вызываемые сменой времен года. Их называют сезонными. Сезонность можно понимать как внутригодовую динамику вообще. При рассмотрении квартальных или месячных данных многих социально-экономических явлений часто обнаруживаются определенные, постоянно повторяющиеся колебания, которые существенно не изменяются за длительный период времени. Они являются результатом влияния природно-климатических условий, общих экономических факторов, а также ряда многочисленных разнообразных факторов, которые частично являются регулируемыми. В статистике периодические колебания, которые имеют определенный и постоянный период, равный годовому промежутку, носят название «сезонные колебания», или «сезонные волны», а динамический ряд в этом случае называют тренд-сезонным, или просто сезонным рядом динамики.
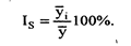
Сезонные колебания характеризуются специальными показателями, которые называются индексами сезонности (Is). Совокупность этих показателей отражает сезонную волну. Индексами сезонности являются процентные отношения фактических внутригодовых уровней к постоянной или, переменной средней. Для каждого месяца рассчитывается средняя величина уровня, например за три года (у{), затем из них вычисляется среднемесячный уровень для всего ряда (у), и в заключение определяется процентное отношение средних для каждого месяца к общему среднемесячному уровню ряда, т. е.
Совокупность исчисленных индексов сезонности характеризует сезонную волну развития числа браков, расторгнутых населением города, во внутригодовой динамике. Для наглядного получения представления о сезонной волне желательно изобразить полученные данные в виде линейной диаграммы. Если же ряд динамики содержит определенную тенденцию в развитии, то, прежде чем вычислить сезонную волну, фактические данные должны быть обработаны так, чтобы была выявлена общая тенденция. Обычно для этого прибегают к аналитическому выравниванию ряда динамики.
При использовании способа аналитического выравнивания ход вычислений индексов сезонности следующий: • по соответствующему полиному вычисляются для каждого месяца (квартала) выравненные уровни на момент времени (t) (гр. 2); • определяются отношения фактических месячных (квартальных) данных; (у{) к соответствующим выравненным данным (yt) в процентах (гр. 3); Ii = (у,: yt) • 100; • находятся средние арифметические из процентных соотношений, рассчитанных по одноименным периодам в процентах (гр. 4): I = (Ii+l2+l3+' .+I„): n, где n - число одноименных периодов.
|
Методы измерения сезонных волн, основанные на применении |
Наименование методов вычисления сезонных волн |
|
I. Средней арифметической |
1. Метод абсолютных разностей 2. Метод отношений средних помесячных к средней за весь период 3. Метод отношений помесячных уровней к средней данного года |
|
II. Относительных величин |
1. Метод относительных величин 2. Метод относительных величин на основе медианы 3. Метод У. Персона (цепной метод) |
|
III. Механического выравнивания |
1. Метод скользящих средних 2. Метод скользящих сумм и скользящих средних |
|
IV. Аналитического выравнивания |
1. Выравнивание по прямой 2. Выравнивание по параболе и экспоненте 3. Выравнивание по ряду Фурье |
Другие статьи
Сущность и содержание коммерческой деятельности организации, основные направления ее совершенствования
специалист
В
условиях развития рыночных отношений перед производственной организацией встают
проблемы обеспечения подлежащей конкурентоспособности на рынке товаров и услуг.
Для этого необходимо знать, как работать с потребителями, оценивать сильные и
слабые стороны коммерческой деятел ...
